Dados da prefeitura de Ribeirão Preto, enviados com exclusividade ao TH+ Portal, indicam que os homens de idade entre 30 e 39 anos representam o grupo mais afetado pela HIV no município.
Os dados mais recentes são de 2023. Conforme justificado pela assessoria da Secretaria da Saúde, “os dados referentes ao ano anterior são publicados perto do final do ano seguinte”. Por tanto, os dados do último ano serão disponibilizados somente na reta final de 2025.
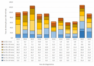
Conforme anunciado pela planilha de distribuição percentual dos casos de HIV em pessoas de 13 anos e mais do sexo masculino residentes em Ribeirão Preto, o grupo etário de 30 a 39 anos registrou o maior número de diagnósticos desde 2017 – na ocasião, foram 47 exames positivos.
A segunda faixa etária mais afetada pela doença remete ao público masculino de idade entre 25 e 29 anos – foram 39 diagnósticos. O número é o menor desde 2021, quando foram notificados 45 casos. O auge de testes positivos para o grupo em questão ocorreu em 2017, quando foram 49 homens reconhecidos com a doença.
Somados os grupos etários, em 2023, foram 143 homens com teste positivo para HIV em Ribeirão Preto.

Em relação ao sexo feminino, jovens de idade entre 15 e 19 anos foram as mais afetadas pela doença. Os dados indicam que, em 2023, foram 23,9 diagnósticos. A planilha reúne números desde 2013, sendo este o maior registrado até então.
Mulheres entre 25 e 29 anos acumulam 21 testes positivos. O número é o mesmo de 2022, e só perdem para os acumulados de 2013 (36,9) e 2015 (40,7).
Em relação às jovens de idade entre 20 e 24 anos, foram 15,2 diagnósticos no período.

Em dados gerais, a pele branca foi indicada como a condição racial mais afetada pela doença, em 2023, com 39 notificações. Em seguida está a cor parda, com 31 diagnósticos. A raça foi ignorada em quatro testes.
Sobre a escolaridade das pessoas afetadas, 60 pessoas diagnosticadas frequentaram o ensino médio. O nível de ensino foi ignorado em 56 exames.

23 pessoas morreram por decorrência da doença no período de recorte da pesquisa.
Use camisinha
Para prevenir a Aids, a estratégia mais eficaz é a prevenção combinada, que inclui várias medidas aplicadas simultaneamente para diferentes formas de transmissão do HIV.
As principais ações de prevenção são:
Uso de preservativos (camisinhas masculina e feminina) em todas as relações sexuais (vaginal, anal e oral). O preservativo é o método mais conhecido e eficaz para evitar a transmissão do HIV e outras infecções sexualmente transmissíveis (ISTs).
Profilaxia Pré-Exposição (PrEP): medicação preventiva tomada diariamente por pessoas em maior risco de contrair HIV, que reduz muito a chance de infecção. Disponível gratuitamente no SUS para quem tem indicação médica.
Profilaxia Pós-Exposição (PEP): medicação que deve ser iniciada até 72 horas após uma exposição de risco (como sexo sem proteção), continuada por 28 dias, para impedir o estabelecimento da infecção.
Testagem regular para HIV e outras ISTs, para diagnóstico precoce e início rápido do tratamento, que também evita a transmissão do vírus.
Tratamento antirretroviral das pessoas que vivem com HIV, que reduz a carga viral a níveis indetectáveis e elimina o risco de transmissão sexual do vírus (“indetectável = intransmissível”).
Evitar compartilhamento de objetos perfurocortantes, como seringas, lâminas e alicates, utilizando materiais descartáveis ou esterilizados.
Prevenção da transmissão vertical (de mãe para filho): gestantes devem fazer teste de HIV, e, se positivo, seguir tratamento para evitar a transmissão durante a gravidez, parto e amamentação.
Vacinação contra hepatite A e B, importante para prevenção de outras ISTs que podem ocorrer junto com o HIV.
Além dessas medidas, o SUS oferece gratuitamente preservativos, testes rápidos, PrEP, PEP e tratamento antirretroviral, garantindo acesso amplo à prevenção e cuidado.
Clique aqui e confira os dados na íntegra.



